Open the App: Launch the STB Emulator app on your device. Access Settings: Open the app's settings by clicking on the gear icon or selecting "Settings" from the main menu. Configure Profile: In the settings, navigate to the "Profiles" or "STB Configuration" section. Create a new profile or edit an existing one. Enter Portal URL or.. Sat-Forum.Net. channel update, set top box software, biss key, powervu key, iptv, oscam,Feedkeys. Skip to content

SOLVED Consider the following reaction 4NH₃ + 5O₂ > 4NO + 6H₂O. In an experiment, 3.25 g of

Soal Konsep Mol Dan Penyelesaiannya

Telegramканал "🇧🇦🇭🇷🇷🇸🆂🆃🅱️🅴🅼🆄 🅱️🅰️🅻🅺🅰️🅽 🅽🅴🆃 🅶🆁🅾️🆄🅿️🇧🇦🇭🇷🇷🇸" — — TGStat

SOLVED Cl2(g) + Al(s) AlCl3(s) 70.90 g/mol 26.98 g/mol 133.33 g/mola. Calculate the theoretical
Lowtemperature Xray structural analysis of propanedinitrile derivatives substituted with a bis

Fraksi Mol Dan Molalitas M Soal Dan Pembahasan Kimia Kelas 12 Riset

SOLVED Use 1.0079,4.0026,14.007,15.999,20.180,35.453. 1. Calculate the molar mass of hydrogen

Pada saat kesetimbangan, dalam suatu ruangan 10 liter pad...

LISTE Real Panel ВКонтакте
Lowtemperature Xray structural analysis of propanedinitrile derivatives substituted with a bis
Space2connect Mol

spi How to convert 8080 type 8 bit parallel interface to I2C interface? Electrical
[Solved] 20 mol of NOCl is placed inside an empty 4L container. At... Course Hero

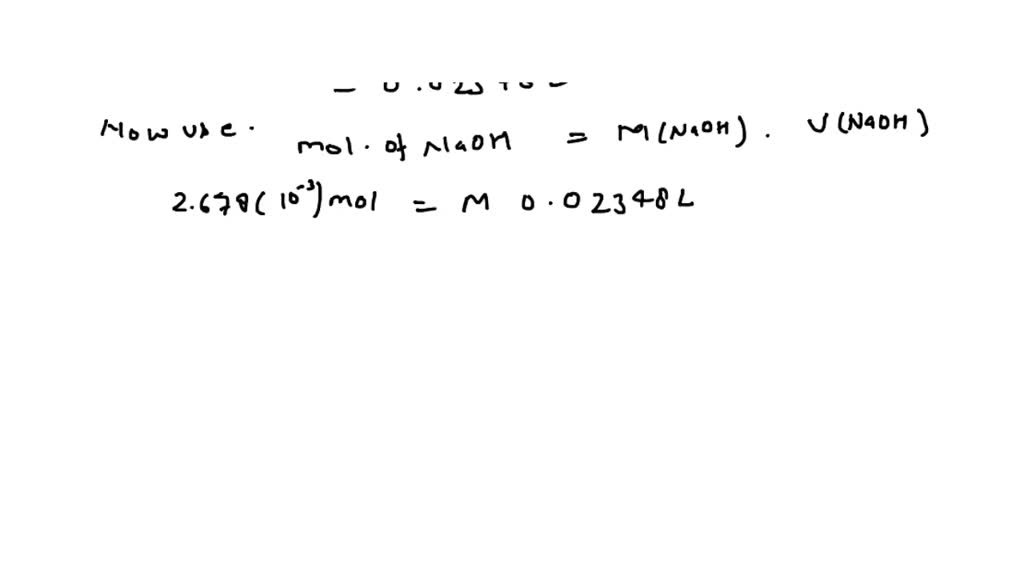
SOLVED A student attempts to standardize a NaOH solution. Data from his two titrations are

Konsep Mol dan Analisanya

Mol 2 digibok 6 mån ONL Otava verkkokauppa

For the gaseous phase reaction 2A + B 2C + D . Initially there are 2 mol each of A & B . If 0.4

Công thức tính số mol ở điều kiện tiêu chuẩn, điều kiện thường, thể tích, khối lượng

SOLVED 'Question 2 (4 points) Ink AH P T The enthalpy of an unknown liquid is 27.99 kJ/mol and

The reactant which is entirely consumed in the reaction is known as limiting reagent. In the
http://sonymax.org:8080/c/ MAC 00:1A:79:5E:7D:C1 April 13, 2024 MAC 00:1A:79:03:C9:B3 June 11, 2024 MAC 00:1A:79:BC:4E:74 September 25, 2024. LISTE Real: http://private.mol-2.com:8080/c/ Panel: http://private.mol-2.com/c/ Mac: 00:1A:79:bf:4b:53 Exp: September 23, 2023 21:24 m3uLink: http://private.mol-2.com.